9-Lote Econômico de Compra (LEC)

conteúdo original: silva, i. L.L.; fundamentos para gestão da produção: o mínimo que você precisa conhecer; São Paulo; ed. do autor; 2024;

9.          Lote Econômico de Compra (LEC)

Após classificar os itens do estoque em categorias (ABC), determinar o custo dos itens no estoque, e encontrar os parâmetros administrativos de estoque de segurança (Es) e ponto de reposição (R), é necessário definir mais um parâmetro para fechar o ciclo de gerenciamento do estoque: determinar a quantidade a ser comprada.

Afinal, ao estoque atingir o ponto de pedido (R) qual deve ser a quantidade solicitada no pedido?

Esta quantidade pode variar e ser determinada de diferentes formas, mas existe uma teoria que se baseia nos custos resumidos de administração dos estoques (custo de pedido e custo manutenção) para determinar a quantidade ideal a ser adquirida, a chamada Teoria do Lote Econômico de Compras (LEC).

Esta teoria sustenta que baseando nos custos de pedido (Cp) e de manutenção (Cm) dos estoques é possível determinar um ponto ótimo que definirá a quantidade a ser adquirida de modo a minimizar os custos ao longo de um período (geralmente um ano).

A teoria do Lote Econômico de Compras (LEC) admite algumas premissas que podem ser irreais na prática, mas dão uma boa aproximação para determinação de um número econômico para os pedidos. Essas premissas são:

·       A demanda do produto é constante e uniforme ao longo de um período;

·       O custo e o tempo de atendimento dos pedidos são constantes e independentes da quantidade comprada;

·       O custo unitário de manutenção baseia-se no estoque médio e é constante ao longo do tempo;

          Como o desenvolvimento da teoria do LEC baseia-se nos custos de estoque, é importante caracterizar cada um destes custos:

·       Custo de manutenção (Cm): Os custos de manutenção dos estoques já foram discutidos anteriormente neste conteúdo, e foram divididos em quatro categorias: custos de capital, predial, de pessoal e de manutenção. Aqui estes quatro custos são englobados em um único custo chamado genericamente de Custo de manutenção (Cm). Este custo é representado pelo custo por unidade por ano de armazenamento.

·       Custo de pedido (Cp): Os custos de um pedido unitário (ou custo de aquisição) estão associados os custos que envolvem a reposição do material no estoque da empresa. Geralmente estes custos envolvem o custo de processamento dos pedidos pelos departamentos relacionados, os custos de transmissão do pedido, os custos de transporte. Este custo é representado pelo custo de um pedido.

         Para iniciar o conceito do LEC, observe novamente o gráfico dente de serra com demanda (D) e tempo de reposição (L) constantes.

Figura 9.1 – Gráfico Dente de Serra

Conforme já apresentado, sendo o consumo constante e a quantidade comprada (Qc) constante ao longo do tempo, se terá um estoque médio (Qmed) dentro de um ciclo igual a metade de Qc (Qmed=Qc/2). Em alguns momentos se terá mais unidades que Qc/2, em outros se terá menos unidades, assim ao longo do tempo se terá Qc/2 como estoque médio (Qmed).

           Neste ponto já foi definido como determinar o Estoque de Segurança (Es), assim ele foi adicionado ao gráfico também. Adicionando o estoque de segurança (Es), o estoque médio (Qmed) será dado por:

             Considerando uma situação qualquer onde é conhecido os custos Cp e Cm, onde tenha sido determinado o Estoque de Segurança (Es), e a Demanda anual (D) também é conhecida, o custo total de anual (CT) de administração do estoque será variável em função da quantidade comprada (Qc).

Figura 9.2 – Variação na quantidade comprada (Qc)

          Considere que o gráfico anterior represente o comportamento de um ano do estoque do material analisado, e observe as situações A e B.

Na situação A, a quantidade comprada (Qc) é maior, e consequentemente a quantidade média (Qmed) em estoque ao longo do ano. Se a quantidade comprada (Qc) é maior, tenderá a se fazer menos pedidos ao longo do ano, logo os custos com pedidos totais serão menores, em compensação, com a quantidade a média (Qmed) maior, se tenderá a ter maiores custos totais de manutenção dos estoques (tem-se mais unidades em estoque).

Já na situação B, a quantidade comprada (Qc) é menor, consequentemente o Qmed. Assim, se tenderá a realizar mais pedidos ao longo de um ano, aumentando os custos com pedidos, e devido ao Qmed menor, ter-se-á menos unidade em estoque, consequentemente um menor custo de manutenção total.

Repare então que há um comportamento inverso nos custos totais de pedido e manutenção em função da quantidade comprada (Qc): quando Qc aumenta, os custos de pedidos totais diminuem e os custos de manutenção totais aumentam; já quando Qc diminui os custos de pedidos totais aumentam e os custos de manutenção totais diminuem.

Já que há um comportamento inverso entre estes custos em função de Qc, qual seria a quantidade ideal a ser pedida ao longo de um ano de modo a reduzir os custos totais (CT)?

Observe um exemplo com a utilização de diferentes quantidades Qc.

Considere uma situação em que o custo de um pedido (Cp) é de R$15,00 e o custo de manutenção (Cm) anual é de R$3,00 por item. Ao longo de um ano há uma demanda (D) média de 4000 unidades.

           A primeira coluna simula diferentes quantidades compradas (Qc) a cada pedido, a segunda coluna o custo de manutenção total, a terceira o custo de pedido total, e finalmente a última o custo total (sempre para um ano).

Tabela 9.1 – Simulação de diferentes quantidades pedidas e seus custos

Vejam como exemplo se ao longo do ano forem realizados pedidos de 50 em 50 unidades (Qc = 50), ou seja, a cada vez que se for realizar um pedido se pedirá 50 unidades.

          Tendo um custo de manutenção anual por unidade (Cm) de R$3,00, e um estoque de segurança (Es) igual a zero, chegamos a um custo de manutenção total de R$75,00, o que é indicado na segunda coluna.

De forma similar, acompanhando a tabela, se a cada pedido comprarmos 100 unidades (Qc), teremos um custo total anual (CT) de R$750,00. E assim por diante.

Sendo estes os custos totais de administrar o estoque ao longo do ano, qual seria a quantidade ideal a se utilizar para fazer pedidos de modo a trabalhar com o menor custo total possível?

Observando a tabela, ao se realizar pedidos de 200 unidades (Qc) tem-se o menor custo possível, R$600.00 ao ano. Qualquer quantidade comprada (Qc) acima ou abaixo de 200 unidades leva a um custo total (CT) maior. Assim, segundo a teoria do Lote Econômico de Compras (LEC) esta deveria ser a quantidade requisitada a cada pedido.

          Observe a seguir os dados da tabela anterior apresentados de forma gráfica.

Figura 9.3 – Gráfico do Lote Econômico de Compras

Observe que à medida que o tamanho de Qc aumenta, os custos de pedidos diminuem (são necessários menos pedidos ao longo de um ano), e os custos de manutenção aumentam (há mais unidades em média em estoque para se administrar).

Os custos totais são o acúmulo dos outros dois custos, e observa-se que ele começa alto, vai diminuindo, atinge um ponto mínimo, e começa a subir.

O ponto onde os custos totais atingem um custo mínimo é exatamente no ponto onde os custos totais de manutenção e de pedido são iguais (as linhas se cruzam). Este é o ponto de mínimo custo, o ponto do Lote Econômico de Compras (LEC), que no exemplo, corresponde a 200 unidades.

O LEC determina a quantidade ideal a ser pedida de modo a reduzir o custo total de estoques ao longo do ano. Assim, ao menos em teoria, para este item deve-se realizar pedidos de 200 em 200 unidades ao longo do ano.

O LEC não é um método otimizante e para ser verdadeiro assume algumas premissas que não são tão aderentes na maioria das vezes a realidade, mas normalmente ele representa um bom ponto de partida para a empresa definir as quantidades a serem realizadas a cada pedido.

No exemplo, aplicou-se um método empírico, simulando diferentes valores de Qc para encontrar o valor do LEC, mas trabalhar desta forma não é eficiente, e ainda se corre o risco de não encontrar o valor, porque não é possível testar todos os valores imagináveis.

Assim, pode-se determinar matematicamente o valor do LEC considerando o que já foi apresentado até agora.

 

Baseado na figura anterior, determinamos que o LEC ocorrerá no ponto onde os custos totais de manutenção e pedido se igualam. Baseado nas fórmulas de ambos os custos, pode-se representar assim (omitiu-se o fator do estoque de segurança por ele não ser relevante neste desenvolvimento):

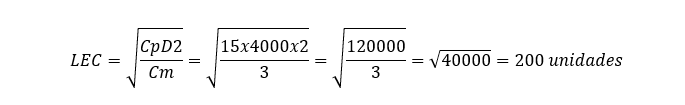
Por meio desta fórmula determina-se o Lote Econômico de Compras (LEC). Aplicando no exemplo apresentado, tem-se:

Chega-se exatamente nas 200 unidades que foram simuladas anteriormente. Então por meio desta fórmula é possível determina-se o Lote Econômico de Compras (LEC).

Este mesmo conceito do LEC foi estendido e aplicado também na gestão da produção para determinação do Lote Econômico de Fabricação (LEF). A grande diferença é que o custo de pedido é substituído pelo custo de preparação (setup) do equipamento.

           Em equipamentos utilizados para produção de diferentes itens, geralmente é necessário realizar a preparação do equipamento antes de iniciar a produção de um item diferente. Os custos associados a realização desta preparação, como custo das horas de mão de obra e materiais consumidos, representam os custos necessários para se se disponibilizar o item em estoque (após a produção), de forma análoga aos custos de pedidos considerados na determinação do LEC.

conteúdo original: silva, i. L.L.; fundamentos para gestão da produção: o mínimo que você precisa conhecer; São Paulo; ed. do autor; 2024;